Contoh Undangan Panitia Pilkades

Situs web tentang info pendidikan terlengkap. Cari apa pun tentang info pendidikan ada disini.

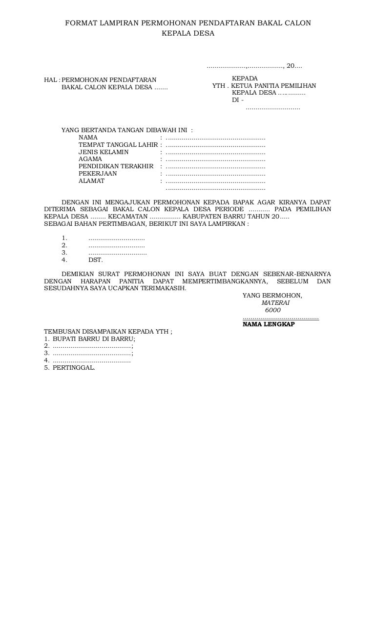
Contoh Undangan Panitia Pilkades. Tentunya dibentuk oleh BPD masing desa kemudian Panitia Pilkades ini mempunyai tugas dan fungsi yang cukup banyak. Contoh surat undangan pembentukan panitia pilkades setelah pemberitahuan akhir masa jabatan kepala desa disampaikan oleh badan permusyawaratan desa kepada kepala desa yang akan berakhir masa jabatannya.

Kelengkapan Panitia Pilkades Tingkat Desa
Kelengkapan Panitia Pilkades Tingkat Desa from www.slideshare.net

Maka agenda kerja selanjutnya yang dilakukan oleh bpd adalah mengadakan rapat atau musyawarah desa musdes dalam rangka pembentukan panitia. Panitia Pemilihan Kepala Desa Tingkat Desa. Itulah contoh dokumen administrasi pilkades berupa berita acara pembentukan panitia pemilihan kepala desa dan lampirannya yang dikeluarkan oleh bpd.

Panitia Pemilihan Kepala Desa sepanjang tidak bertentangan dengan ketentuan peraturan perundang-undangan ketentuan pemerintah aspek kesusilaan ketertiban dan kepentingan umum dapat menentukan hal-hal lain yang belum diatur dalam naskah Tata Tertib Kampanye ini dan dipandang sebagai ketentuan Kampanye serta mengikat para Calon Kepala Desa 11.

Panitia Pemilihan dibentuk dan ditetapkan melalui Keputusan BPD. Download Spanduk Agen JNE Terbaru Format CDR. Tutorial Lengkap Cara Desain Spanduk di Corel deng. 08102019 JOB DESKRIPTIONPEMBAGIAN TUGAS PANITIA PEMILIHAN KEPALA DESA SARIMANGGU TAHUN 2013-2019 1.